1.Novo algoritmo de an e bn
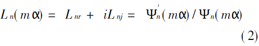
Para resolver os problemas acima, o autor propôs um novo algoritmo. Transforme as fórmulas de an e bn da seguinte forma: Seja

Entre eles, Lnr e Lnj representam a parte real e a parte imaginária de Ln(m), respectivamente. Substitua a equação (2) na equação (1) e use anr, anj e bnr, bnj para representar a parte real e a parte imaginária, respectivamente. Portanto, isso pode ser deduzido.

É muito importante utilizar a forma de proporções nas quatro fórmulas, para evitar estouros importantes que podem ocorrer quando ai e bi aumentam no processo de delay push. Esta é uma característica importante do algoritmo mencionado acima. Entre as quatro fórmulas acima.

Desde
são todas funções de variáveis reais,O cálculo não produz estouro. A chave é como lidar com o algoritmo de
e
.Isso garante que não ocorra nenhum estouro durante o cálculo. No algoritmo de Lentz, uma fração contínua é usada para calcular o valor de Ln, e sua precisão é garantida pela obtenção de uma fórmula empírica para o número de termos truncados N e parâmetros a e m com base em um grande número de cálculos. Tal fórmula empírica tem limitações práticas, por um lado, e também trará erros de truncamento, por outro. A literatura (6) melhorou esta fórmula empírica, mas ela ainda está presa no intervalo de a=1~100, m1=1~2, m2=0~1. A seguir é apresentado o novo algoritmo para Ln desenvolvido pelo autor deste artigo. A característica deste algoritmo é que ele não é limitado pelos valores de a e m, não produz fenômenos patológicos como overflow ou não convergência e possui rápida velocidade de cálculo.


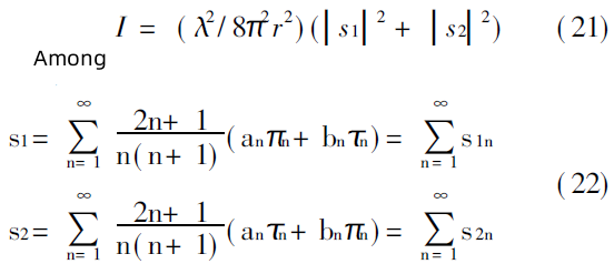
As equações (3) - (20) derivadas acima constituem o algoritmo completo dos coeficientes de Mie an e bn. Como an e bn são calculados a partir de n = 1, os valores de an e bn de qualquer série podem ser calculados usando as fórmulas de valor inicial (16) - (20), portanto não há problema de erro de arredondamento. Pode-se observar na equação (16) que, como y= m2ɑ≤0, não importa quais valores m2 e ɑ assumam, não haverá overflow. Além disso, as fórmulas em (3) adotam a forma de proporções, o que evita a necessidade de cálculos. overflow, que resolve fundamentalmente o problema de overflow.

Ξ é o limite mínimo de dados do computador em dupla precisão.
A Figura 1 mostra um conjunto de exemplos de cálculo de intensidade de luz espalhada. Entre eles, m1=1,33, m2=-0,4 e λ=0,6328 correspondem aos diâmetros de partícula de d=0,001, 1,0 e 30 μm respectivamente. A imagem d é uma ampliação parcial do padrão de espalhamento quando o diâmetro da partícula d=100μm. Pode-se observar que à medida que o tamanho das partículas aumenta, o espalhamento direto se fortalece rapidamente e aparecem lóbulos laterais complexos.

Mudanças na parte real (a) e na parte imaginária (b). Pode-se observar que com o aumento de m1 e m2, embora o tamanho das partículas permaneça inalterado, o espalhamento também é fortalecido, e o retroespalhamento é fortalecido com o aumento de m1 e m2.

A Figura 3 mostra os resultados do cálculo do coeficiente de extinção, onde a) e b) representam as variações do coeficiente de extinção com a parte real e a parte imaginária do índice de refração respectivamente. Pode-se observar que à medida que o diâmetro da partícula aumenta, o coeficiente de extinção se aproxima de 2; o aumento do índice de refração, especialmente o aumento da parte imaginária do índice de refração, torna esta abordagem mais rápida e óbvia. Além disso, quando a parte imaginária do índice de refração m2=0, o coeficiente de extinção oscila à medida que o diâmetro da partícula aumenta; mas quando m2≠0, a oscilação desaparece rapidamente.

O valor de FM(Z) correspondente à intensidade máxima de luz é determinado pela fórmula acima. Também pode ser visto pela fórmula acima que o tamanho do deslocamento focal neste caso limite é determinado principalmente por S0/f e Na.
Direitos autorais © Jinan Winner Particle Instrument Stock Co., Ltd. Todos os direitos reservados | sitemap
Palavras-chave:
Analisador de Tamanho de Partículas a Laser Analisador de Tamanho de Partículas de Spray