1. Introdução
A teoria de Mie é uma solução analítica estrita para a distribuição do tamanho das partículas da luz do deserto [1]. Atualmente é amplamente utilizado em áreas técnicas e de engenharia, como proteção ambiental, energia, meteorologia, astronomia, fluxo bifásico e medição de distribuição de partículas de pó. Dados de medição do campo de dispersão de luz de uma partícula ou grupo de partículas. Muitas propriedades físicas de partículas ou grupos de partículas podem ser deduzidas inversamente, como tamanho de partícula, índice de refração de partícula, etc. No entanto, o cálculo inverso deve ser calculado antecipadamente. Em 1968, Dave[3] publicou pela primeira vez o método completo de cálculo do filtro de Mie, e então Lentz[4] e Wiscomb[5] propuseram cálculos parciais. Novo algoritmo. Algumas pessoas na China também publicaram seus próprios algoritmos [6, 7, 8]. Mas, em geral, esses algoritmos têm suas próprias limitações de tamanho. Especialmente quando o valor da parte imaginária de partículas ou pixels aumenta, a velocidade de cálculo é muitas vezes muito lenta ou ocorre excesso e não convergência. O artigo sobre fenômenos apresenta o novo algoritmo do conversor Mie desenvolvido pelo autor. A característica de tamanho desse algoritmo é que ele não é limitado por partículas e pixels, não causa overflow e não convergência e possui uma velocidade de cálculo rápida.
2. Fórmula de cálculo do coeficiente de Mie
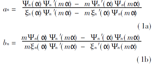
O problema central do cálculo do coeficiente de Mie é calcular os coeficientes an e bn do coeficiente de Mie, e suas expressões são [9].

onde é o parâmetro de tamanho da partícula, definido como α=πd/λ, d é o diâmetro da partícula, λ é o comprimento de onda da luz incidente no meio que envolve a partícula, e m é o índice de refração complexo relativo da partícula no meio circundante, ou seja, m = m1 + eu2 (m2< 0)
, onde i é a unidade imaginária. As expressões de Ψn( Z) e ξn( Z) (Z representa α e mα) são
Ψn(Z)=(πZ/2)Jn+1(Z)
Ψn(Z)=Ψn(Z)+iΧn(Z)
Χn(Z)= ̶ (πZ/2)( ̶ 1)n-1J-(n-1)(Z)
= ̶ (πZ/2)Nn+1(Z)
3. Causas de estouro nos cálculos
Para calcular o coeficiente de Mie, você deve primeiro calcular Ψn e Χn. O método recursivo é geralmente usado. A recursão é dividida em recursão direta (ou seja, começando em n = 0) e recursão rígida (ou seja, começando em n = N até n = 0, N é o valor predefinido). Experimentos mostram que o impulso para frente é sempre mais rápido que o impulso rígido. Valores iniciais de Ψn e Χn

A partir da análise das duas equações acima, pode-se ver que quando m2≠0, se o tamanho da partícula d for muito grande, ou o valor da parte imaginária m2 do índice de refração complexo é muito grande, o produto m2 d será muito grande, o que pode tornar o termo exp(- m2 α nas duas equações) =exp (-π m2d/ λ) O valor excede o limite de dados do computador, resultando em estouro. Esta é uma razão importante para o excesso. Além disso, algoritmos inadequados também podem causar overflow durante o processo de recursão.
Direitos autorais © Jinan Winner Particle Instrument Stock Co., Ltd. Todos os direitos reservados | sitemap
Palavras-chave:
Analisador de Tamanho de Partículas a Laser Analisador de Tamanho de Partículas de Spray