Siga-nos:
Artigos Técnicos
Exposição Artigos Técnicos Notícias da Empresa
Casa  /  Notícias  /  Artigos Técnicos
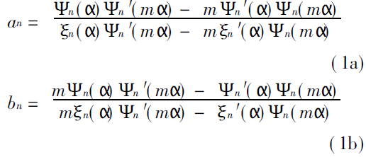
Novo algoritmo para coeficiente de espalhamento de Mie (1)
Aplicação do analisador de tamanho de partículas a laser na detecção de tamanho de partículas de titanato de bário(2)
Aplicação do analisador de tamanho de partículas a laser na detecção de tamanho de partículas de titanato de bário (1))
Aplicação do analisador de tamanho de partículas a laser na detecção de tamanho de partículas de politetrafluoroetileno
Aplicação do analisador de tamanho de partículas a laser na indústria de bicos
Entre em contato conosco
ENTRE EM CONTATO

Copyright © Jinan Winner Particle Instrument Stock Co., Ltd. Todos os direitos reservados |  

FAÇA O PEDIDO AGORA!