Cada método de medição de tamanho de partícula mede uma determinada propriedade física das partículas sob dados diferentes, e diferentes resultados médios podem ser obtidos de acordo com uma variedade de métodos diferentes (como D [4,3], D [3,2], etc.), mas qual tamanho médio de partícula deve ser usado? Tomemos um exemplo simples de duas esferas com diâmetros de 1 e 10. Para a indústria metalúrgica, se você calcular um número simples de diâmetros médios de partículas, o resultado é D [1,0] =(1+10)/2=5,5. Mas se você estiver interessado na massa da matéria, e a massa é uma função cúbica do diâmetro, então uma esfera de diâmetro 1 tem massa 1, e uma esfera de diâmetro 10 tem massa 1000. Em outras palavras, a esfera grande representa 99,9% da massa total do sistema. Na metalurgia, apenas 0,1% da massa total é perdida se uma esfera com tamanho de partícula 1 cair. Portanto, a média numérica simples não pode refletir com precisão a massa do sistema, mas D [4,3] pode refletir melhor a massa média das partículas.
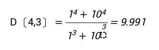
No exemplo das duas esferas acima, o tamanho médio das partículas do volume da matriz de massa é calculado da seguinte forma:

Este valor é uma indicação bastante adequada da qualidade do sistema, o que é importante para algumas indústrias.
Mas numa sala limpa que produz circuitos integrados em grande escala, o número ou concentração de partículas é tudo o que importa, porque se uma partícula cair num chip de silício, ocorrerá um defeito e o produto poderá falhar. É necessário um método que possa medir diretamente o número ou concentração de partículas. Para a contagem de partículas, o número de partículas é suficiente; neste caso, o tamanho das partículas não é importante.
Direitos autorais © Jinan Winner Particle Instrument Stock Co., Ltd. Todos os direitos reservados | sitemap
Palavras-chave:
Analisador de Tamanho de Partículas a Laser Analisador de Tamanho de Partículas de Spray