Esta é a lei de Stokes no estado centrífugo. onde ω is the angular velocity of the centrifuge, and r is the distance from the particle to the axis. Devido à alta velocidade da centrífuga, ω2r é muito maior que a aceleração da gravidade g, então a velocidade de sedimentação Vc da mesma partícula sob centrifugação será muito maior que a velocidade de sedimentação V sob gravidade. This is why centrifugal sedimentation can shorten the test time.
Pode-se ver pela lei de Stokes que, desde que a velocidade de sedimentação da partícula seja medida, o tamanho da partícula pode ser obtido.
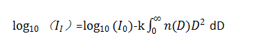
No entanto, no processo real de medição do tamanho das partículas, existem muitas partículas no líquido com tamanhos diferentes, por isso é difícil medir diretamente a velocidade de sedimentação de cada partícula. Therefore, the change rate of the light intensity passing through the suspension with time is used to indirectly reflect the particles. A velocidade de acomodação. The quantitative relationship between light intensity and particle size can be described by Beer's law:

Através de serlei de er, podemos obter a distribuição do tamanho das partículas medindo a intensidade da luz em momentos diferentes para obter a taxa de variação da intensidade da luz.
Direitos autorais © Jinan Winner Particle Instrument Stock Co., Ltd. Todos os direitos reservados | sitemap
Palavras-chave:
Analisador de Tamanho de Partículas a Laser Analisador de Tamanho de Partículas de Spray